 
This document describes how to create GraphViz charts using the Chart API.
Important: The GraphViz chart is still experimental and subject to change.
Overview
GraphViz is a package of open source tools for visualizing connectivity graphs. You can create GraphViz graphs using the DOT language and your choice of layout engines.
GraphViz charts support a different set of required parameters. Here are the supported parameters:
| Parameter | Required or Optional | Description | 
|---|---|---|
| cht=gv[:<opt_engine>] | Required | Specifies a GraphViz chart. You can optionally specify a GraphViz engine. If you want to specify a layout engine, include the semicolon : mark and specify one of the following strings for <opt_engine>: 
 See the GraphViz website for a description of these different engines. | 
| chs=<width>x<height> | Optional | If you don't specify a size, the chart will be sized automatically. | 
| chl=<DOT_string> | Required | The chart to draw, in DOT language notation. You can find the DOT language reference on the GraphViz website. | 
| chd | NOT USED | GraphViz codes are unusual in that the chd parameter is ignored. Don't include it in your URL. | 
| chof=<output_format> | Optional | An output format for
          the chart. See the parameter description to learn what output formats are
          supported. If you specify chof=json, you will get
          back a JSON representation of the chart as HTML image map that you can
          use to add links or interactivity to the chart. See Creating
          a Chart Image Map for details. | 
| callback=<handling_function_name> | Optional | If you specify chof=json, you can also specify a function
          to call with the returned JSON that includes the image map of the chart.
          Your function must accept a single JSON parameter, which will be a JSON
          representation of the chart. Your page can then specify your chart as an <img>element to render the chart, and also call the same URL with chof=json&callback=somefunc,
          and include a function calledsomefunc()that will
          parse the returned JSON and add links or interactivity. | 
Examples:
| Description | Example | 
|---|---|
| dot engine example (default). | 
 | 
| neato engine example of the same chart. |  cht=gv:neato | 
| A dot chart, with no size specified. The chart is sized automatically. |  cht=gv | 
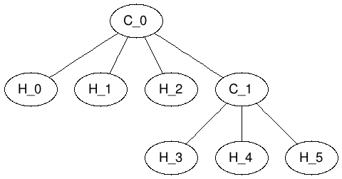
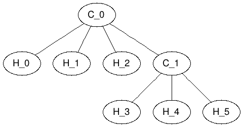
| A more complex chart. |  cht=gv | 
Here are some tips and known limitations in the current GraphViz charts:
- The graphattributesizeshould be not be used; use the Chart API parameterchsinstead.
- The maximum number of nodes is 200, and the maximum for edges is 400.
- Anti-aliasing, transparency, and alternate fonts are not supported.
- The nodeattributesimageandshapefileare not supported, and will result in an error if present.
- The graphattributesratio,margin, andpadare not supported, and will be ignored if present.
